Multiplicación y división de fracciones algebraicas
Multiplicación
Para multiplicar fracciones algebraicas:- Factoriza los numeradores y los denominadores por completo
- Simplifica en lo posible los factores similares al numerador con factores similares en el denominador, es decir, divide el numerador y el denominador por factores similares.
- Multiplica los factores restantes en los numeradores para obtener el numerador del producto.
- Multiplica los factores restantes en los denominadores para obtener el denominador del producto.
1. Multiplicar :

Multiplicando numerador por numerador y denominador por denominador, obtenemos :
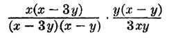
2- Multiplicar
Factorizando, obtenemos :
Obtenemos: 1/3
El procedimiento para dividir una fracción por otra en álgebra es similar al método que usamos en aritmética. Invertimos el divisor y después procedemos como en la multiplicación.
Ejercicios de práctica:
Ejemplo:
Ejercicios de práctica:


Comentarios
Publicar un comentario